Вернуться в началоСодержаниеСловарьПомощь

СодержаниеКонтактыПомощь

Предисловие
§ 1. Природа и характеристика опасностей в техносфере
§ 2. Основные положения теории риска
§ 3. Роль внешних факторов, воздействующих на формирование отказов технических систем
§ 4. Основы теории расчета надежности технических систем
§ 5. Методика исследования надежности технических систем
§ 6. Инженерные методы исследования безопасности технических систем
§ 7. Оценка надежности человека как звена сложной технической системы
§ 8. Организация и проведение экспертизы технических систем
§ 9. Мероприятия, методы и средства обеспечения надежности и безопасности технических систем
§ 10. Технические системы безопасности

§ 11. Правовые аспекты анализа риска и управления промышленной безопасностью

§ 12. Принципы оценки экономического ущерба от промышленных аварий
Приложение 1
Приложение 2
Приложение 3
Приложение 4
Приложение 5
Библиографический список
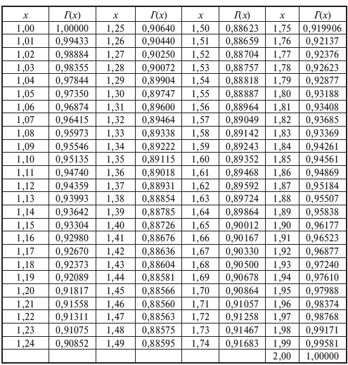
ПРИЛОЖЕНИЕ 2



Значения гамма-функций