|
Риски чрезвычайных
ситуаций
Жизнь человека и
существование
человеческих сообществ
обусловлены и
сопровождаются множеством
разнообразных факторов.
Однако из целей
индивидуальной и
общественной
жизнедеятельности
человечество всегда
предпочитало, иногда
интуитивно, иногда
осознанно, стремление к
повышению качества жизни -
чаще для избранных, реже
для всех.
В свою очередь, из многих
существенных показателей
качества жизни главными
приоритетами постоянно
являлись стремление
человека и общества
обеспечить сытое
существование, сохранить
жизнь и здоровье,
защититься от агрессии,
добиться комфортных
условий бытия, сберечь
окружающую среду обитания.
Большинство из названных
приоритетов
непосредственно
принадлежат к области
безопасности. Таким
образом, безопасность
является важнейшей
составляющей качества
жизни, важнейшей целью
существования.
Почему это происходит? Чем
обусловлено такое важное
значение безопасности
жизнедеятельности и в
прежние и в нынешние
времена? Почему
деятельность по
обеспечению безопасности
всегда являлась столь
востребованной?
Высокая роль безопасности
определяется непреложным
наличием в природной и
социальной сферах обитания
человечества
многочисленных постоянных
и разнообразных опасностей.
Именно наличие в этом мире
опасностей, грозящих всем и
каждому, обусловливает
перманентную
необходимость прилагать
усилия для обеспечения
личной, общественной,
государственной и всякой
иной безопасности.
Что же такое опасность?
Это понятие может быть
отнесено к разряду
наиболее общих
представлений, отражающих
основные свойства и
закономерности явлений
объективной реальности.
Понятие "опасность"
может быть поставлено в ряд
с такими основополагающими
категориями
жизнедеятельности как "жизнь",
"сознание", "язык",
"труд", "радость",
"страдание", "успех",
"качество" и другими
неотъемлемыми частями
бытия, его
фундаментальными
свойствами и особенностями.
Несмотря на сложность
содержания понятия "опасность",
нормы русского языка
определяют его довольно
однозначно. В самом общем
случае опасность - это
потенциальная возможность
вызвать вред, принести
несчастье. Опасность также
может быть представлена
как возможный результат
действия тех или иных
негативных факторов на те
или иные объекты.
Опасностью, равным образом,
можно назвать состояние
той или иной среды (природной,
хозяйственной,
политической, социальной,
техногенной,
психофизиологической и т.д.),
чреватой своими резкими
изменениями, наносящими
вред. Иногда опасность
трактуют как возможность
утраты существенных
свойств или целостности из-за
неудовлетворения каких-либо
потребностей.
Уясняя понятие опасности,
необходимо помнить, что
здесь имеется в виду лишь
потенциальная возможность
несчастья, а не само
несчастье. Это напоминание
необходимо потому, что на
практике иногда путают
опасность с ее реализацией.
Время от времени опасности
реализуются и становятся
фактом жизни, превращаясь
из потенциального
состояния в различного
вида реальные негативные
события - стихийные
бедствия, аварии и т.д..
Возникают поражения,
ущербы, другие негативные
последствия этих событий. В
результате на каких-либо
участках, местностях,
территориях могут
сложиться чрезвычайные
ситуации различного
масштаба. О существе
понятия "чрезвычайная
ситуация" разговор еще
впереди, сейчас же уместно
сказать об их возможном
характере.
В зависимости от природы
негативного (чрезвычайного)
события чрезвычайные
ситуации также имеют
различное происхождение
или различный характер, как
принято говорить.
Поскольку предметом нашего
изучения является
безопасность
жизнедеятельности в
чрезвычайных ситуациях
природного и техногенного
характера, то и характер
круга рассматриваемых в
данном пособии опасностей,
порождаемых ими
чрезвычайных событий и
ситуаций, преимущественно
будет касаться природной и
техногенной сфер.
Негативное (чрезвычайное)
событие, явившееся
результатом
реализовавшейся опасности
и послужившее причиной
возникновения
чрезвычайной ситуации,
принято называть ее
источником. По официальной
трактовке источник
чрезвычайной ситуации - это
опасное природное явление,
авария или опасное
техногенное происшествие,
широко распространенная
инфекционная болезнь людей,
сельскохозяйственных
животных и растений, а
также применение
современных средств
поражения, в результате
чего произошла или может
возникнуть чрезвычайная
ситуация (ГОСТ Р 22.0.02-94).
В нашей стране официально
стандартизирован также
термин "источник
опасности". По ГОСТ Р
22.10.01-2001 источником
опасности называется
явление, процесс или объект,
которые могут послужить
причиной ущерба.
Уточнению представления об
опасности помогает
определение опасности в
чрезвычайных ситуациях,
которая согласно ГОСТ Р
22.0.02-94 представляет собой
состояние, при котором
создалась или вероятна
угроза возникновения
поражающих факторов и
воздействий источника
чрезвычайной ситуации на
население, объекты
экономики, инфраструктуры
и окружающую природную
среду в зоне чрезвычайной
ситуации, то есть на
территории, на которой
сложилась чрезвычайная
ситуация.
Опасность всегда
выражается через связь
двух сторон. Одна их них -
субъекты опасности (природные
явления, экономические,
социальные, политические,
техногенные процессы,
движущиеся или иные
потенциально опасные
материальные объекты,
негативные или ошибочные
намерения и т.д.) - выступает
источником, носителем
опасности. Другая сторона -
объекты опасности (люди, их
сообщества, рукотворные
материальные объекты,
объекты природы) - является
потенциально пострадавшей
стороной, которая может
испытать на себе
негативное, чаще -
поражающее воздействие
субъекта опасности. При
этом обе стороны могут быть
составляющими одного и
того же предмета или
явления. В качестве примера
назовем промышленное
предприятие, на котором по
внутренним причинам может
возникнуть авария. В этом
случае предприятие в целом
одновременно оказывается и
субъектом и объектом
опасности.
Степень опасности зависит
от вероятности ее
реализации, энергетической
мощи возможных явлений или
процессов, интенсивности
возможного воздействия на
объект, а также от
уязвимости и защищенности
от них объекта опасности.
Условно опасность может
быть представлена в двух
формах - в форме вызовов и в
форме угроз.
Под вызовом понимается
совокупность
обстоятельств, порождающих
гипотетическую опасность,
которая в перспективе
может превратиться в
непосредственную
опасность. Примерами
вызовов в области
природной и техногенной
безопасности являются
опасность падения на Землю
крупных небесных тел,
возможные нарастающие
изменения глобального
климата, истощения
озонового слоя атмосферы
Земли, непредсказуемые
результаты генно-инженерных
исследований, перспектива
создания новых опасных
производств и видов оружия
и другие. Заблаговременное
выявление и осознание
вызова очень важно,
поскольку позволяет
заранее принять меры по
предотвращению перехода
опасности в форму угрозы.
Наиболее
распространенными формами
опасностей являются угрозы,
которые представляют собой
непосредственную
опасность возникновения
тех или иных катаклизмов,
бедствий, невзгод,
несчастий, а также наличие
обстоятельств,
стимулирующих эти
чрезвычайные события. В
качестве таких
обстоятельств могут
выступать природные,
общественные, техногенные
закономерности,
обусловливающие опасность,
технико-экономическая
отсталость, структурные и
функциональные недостатки
систем безопасности,
преступные намерения,
декларирование и
демонстрация опасных
намерений, ошибочные
оценки степени опасности,
нерациональное
природопользование и
многое другое.
Оперируя понятиями форм
опасности, необходимо
учитывать то
обстоятельство, что
границы между ними в
определенной степени
условны. Поэтому
существуют некоторые
трудности четкого
разделения вызовов и угроз
между собой. Наиболее
распространенной на
практике формой опасности
является угроза.
Одной из характеристик
опасности, широко
используемой в настоящее
время, является риск. Риск
-
это степень опасности
испытать негативные
воздействия или неудачи в
предпринимаемых действиях.
Другими словами риск - это
измеренная возможность
того, что ход событий,
действия и результаты
деятельности приведут к
последствиям, отрицательно
воздействующим на
человеческие ценности.
Приведем еще некоторые
общие определения, где
риском могут быть названы:
вероятность реализации
опасности; потенциальная
опасность получения
нежелательных (негативных)
результатов; элемент
социального управления в
условиях неопределенности.
Эти формулировки дополняют
и уточняют облик
определяемого понятия.
Поскольку риск
характеризует степень
опасности, он является ее
мерой. Оценка риска
проводится, как правило, в
вероятностном виде.
Недаром риск возникновения
чрезвычайной ситуации
часто рассматривают как
вероятность или частоту
возникновения источника
чрезвычайной ситуации (ГОСТ
Р 22.0.02-94).
Для оценки риска
необходимы количественные
показатели. Они должны
обеспечивать сравнимость
степени опасности
различных ее источников,
состояния безопасности для
различных видов
деятельности и категорий, в
целом оценку состояния
безопасности
жизнедеятельности на
определенной территории.
Как правило, понятие риска
связывают с возможностью
наступления сравнительно
редких событий. При этом
риск часто отождествляют с
вероятностью Q(t)
наступления этих событий
за интервал времени (t (как
правило, за год).
Вероятность Q(t) выступает в
этом случае как мера (показатель)
риска, удобная для
сравнения рисков для
одного объекта (субъекта)
от различных событий или
для различных объектов (субъектов)
в типовых для них условиях
функционирования (деятельности).
Риск связывают также с
размером w ущерба от
опасного события (например,
опасного природного
явления - наводнения,
землетрясения или аварии -
взрыва, пожара), как правило,
в натуральном (число
пострадавших и погибших,
размер зоны действия
опасных факторов) или
стоимостном выражении.
Таким образом, риск
сочетает в себе
вероятность
неблагоприятного события и
объем негативных
последствий этого события (убытки,
потери, ущерб).
Наиболее общим показателем
риска считается
математическое ожидание (среднее
значение) ущерба от
опасного события за год:

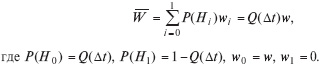
Если в течение года может
произойти N>1 опасного
события, то показателем
риска служит сумма ущербов
от всех событий:

где wi - ущерб от i-го
опасного события;
- средний ущерб при
реализации опасного
события;
a(t) - математическое
ожидание числа событий за
год.
Таким образом, наиболее
общим показателем риска,
применимым для любых N,
является.

Таким образом,
независимыми переменными,
по которым оценивается
риск, являются время t и
ущерб w, а для оценки (прогноза)
риска необходимо
определять частоты
реализаций опасных событий
и ущерб от них.
Оценки частот некоторых
событий на территории
России за последние годы приведены в табл.
1.1.1, а
ущерба - в табл. 1.1.2.
Таблица 1.1.1
Частоты опасных событий

Таблица 1.1.2
Ущерб от чрезвычайных
ситуаций на территории
России

Оперируя с рисками удобно,
в зависимости от их
особенностей, подразделять
их на некоторые виды,
характеризующие отношение
риска к объектам опасности,
их взаимосвязь.
В случае, когда объектами
опасности выступают люди и
их сообщества - население
опасных территорий,
персонал опасных объектов,
коллективы, ведущие
деятельность, связанную с
риском и т.д. - риски удобно
подразделить на
индивидуальные и
коллективные.
Индивидуальный риск - это
мера возможности
наступления негативных
последствий для здоровья
одного человека из-за
действия на человека на
территории его возможного
нахождения в течение
времени (t опасных факторов
жизнедеятельности,
проявляющихся постоянно
либо в случае реализации
опасных событий.
Количественно
индивидуальный риск
характеризуется
вероятностью Q0(t) получить
ущерб здоровью.
Индивидуальные риски
смерти приведены в табл.
1.1.3.
Таблица 1.1.3
Индивидуальные риски в
условиях деятельности
человека

(1) В России в 1995 г.
(2) В 1993 г.
(3) Для групп лиц,
занимающихся особо
опасными видами спорта
(4) От самоубийств в 1993 г.
(5) От преступлений
(6) Техногенный риск
Коллективный или
социальный риск связан с
нахождением некоторой
социальной группы в районе
расположения источника
опасности, например, с
занятостью на потенциально
опасном объекте либо
проживание вблизи него. В
отличие от индивидуального
риска он является
интегральной
характеристикой
опасностей определенного
вида в конкретном
географическом районе и
характеризует масштаб
возможной аварии.
Коллективный риск
оценивается числом n
смертей в результате
действия определенного
опасного фактора на
рассматриваемую
совокупность людей
численностью N.
Коллективный риск для
персонала потенциально
опасного объекта и близ
живущего населения при
нормальной эксплуатации и
в случае аварии на объекте
представляет собой
ожидаемое число жертв
среди персонала и
населения в единицу
времени.
В общем случае социальный
риск оценивается
вероятностным
распределением числа
смертей от определенной
причины.
По личному ощущению
человека к испытываемому
риску различают
добровольный и вынужденный
риск.
Добровольный риск - это
риск, который человек берет
на себя в личной жизни
путем свободного выбора
образа жизни и рода личных
занятий. Примерами
добровольного риска
являются
непрофессиональные
занятия альпинизмом,
прыжками с парашютом, т.е.
виды деятельности,
которыми человек
занимается ради
собственного удовольствия,
улучшения комфорта,
повышения престижа.
Поскольку добровольный
риск связан с личным
решением индивидуума, а не
с необходимостью рисковать
по найму, он принимается
всегда легче, чем равный по
величине вынужденный,
навязанный
обстоятельствами риск.
Вынужденный риск - это
риск профессиональной
деятельности человека,
осуществляемой в
определенных условиях.
Часто этот вид риска
называют еще
профессиональным. Следует
иметь в виду, что хотя в
большинстве случаев
человек выбирает работу
добровольно, связанный с
ней риск условно отнесен к
вынужденному. Это
обусловлено тем, что
наличие оплаченного труда
жизненно необходимо для
человека.
Выбирая вид деятельности,
индивидуум вправе знать
величину связанного с
будущей работой риска. Он
вправе рассчитывать на
социально-экономические
компенсации за
дополнительный риск по
сравнению с другими видами
деятельности. Опасный труд,
(например, военная служба в
условиях повышенного риска
для жизни и здоровья,
работа на Крайнем Севере в
неблагоприятных условиях),
является жизненно
необходимым для
функционирования
государства и общества,
обеспечения качества жизни
остальных членов общества.
Вынужденный риск связан
также с проживанием вблизи
потенциально опасных
объектов или в условиях
неизбежного воздействия
поражающего фактора.
Общество несет
ответственность за
соответствующий уровень
безопасности видов
деятельности и технологий.
Шкала опасности
человеческой деятельности
приведена в табл. 1.1.4.
Таблица 1.1.4
Классификация условий
профессиональной
деятельности

При принятии решений в
целях управления рисками
различают еще ряд видов
риска.
Различают риск
мотивированный,
рассчитанный на
ситуативное преимущество в
деятельности, и, наоборот,
немотивированный. Исходя
из соотношения ожидаемых
выигрыша и проигрыша при
реализации
соответствующего действия,
выделяют оправданный и
неоправданный риск. Важное
различие имеется между
теми ситуациями, где исход
зависит от случая (шансовые
ситуации), и теми, в которых
он связан со способностями
субъекта (ситуации навыка).
Выявлено, что при прочих
равных условиях люди
готовы к более высокому
уровню риска в ситуациях,
связанных не с шансом, а с
навыком.
Уже указывалось, что при
реализации опасности
возникают негативные (чрезвычайные)
события, являющиеся
источниками чрезвычайных
ситуаций. Опасность в
природной и техногенной
сферах реализуется, когда
характеристики природных
процессов и явлений,
показатели социальной и
политической динамики,
параметры
производственных и других
техногенных процессов
достигают и превышают
определенный критический
предел, после чего процесс
выходит из нормального
состояния. Это может
сопровождаться
разрушительным или другим
негативным воздействием на
окружающую среду,
приводящим к бедствиям
различной интенсивности и
масштаба. Вследствие и на
фоне этих чрезвычайных
событий складывается
чрезвычайная ситуация
различного характера.
Чрезвычайная ситуация -
это обстановка на
определенной территории
или акватории, сложившаяся
в результате аварии,
опасного природного
явления, катастрофы,
стихийного или иного
бедствия, которые могут
повлечь или повлекли за
собой человеческие жертвы,
ущерб здоровью людей или
окружающей природной среде,
значительные материальные
потери и нарушения условий
жизнедеятельности людей.
Это определение вначале
было установлено в
Федеральном законе "О
защите населения и
территорий от чрезвычайных
ситуаций природного и
техногенного характера",
а затем в этом виде внесено
в ГОСТ Р 22.0.02-94 вместо
старой формулировки.
Таким образом, результатом
чрезвычайных ситуаций
является наносимый ими
вред, урон. Этот вред, в
основном, выражается через
непосредственные
последствия бедствия,
являющегося источником
чрезвычайной ситуации. Под
последствиями понимается
результат воздействия
поражающих и других
факторов, сопровождающих
бедствие, на человека,
объекты экономики,
социальную сферу,
окружающую природную среду.
При этом, под поражающим
фактором источника
чрезвычайной ситуации
понимается составляющая
опасного явления или
процесса, вызванная
источником чрезвычайной
ситуации и характеризуемая
физическими, химическими и
биологическими действиями
или проявлениями, которые
определяются или
выражаются
соответствующими
параметрами (ГОСТ Р 22.0.02-94).
Здесь следует добавить, что
действия, приведенные в
ГОСТ, не исчерпывают
возможный их диапазон.
Поражающие воздействия,
оказываемые при
чрезвычайных ситуациях,
могут иметь различный
характер: механический,
тепловой, химический,
радиационный,
электромагнитный,
акустический,
биологический,
информационный, социальный,
экономический и т.д.
Поражающие факторы могут
быть первичными и
вторичными. Первичные
поражающие факторы
порождаются
непосредственно
источником чрезвычайной
ситуации. Вторичные
поражающие факторы присущи
вторичным, наведенным
чрезвычайным событиям,
возникшим в результате
воздействия первичных
факторов на какой-либо
источник опасности или
вследствие действия
негативных условий
чрезвычайной ситуации. К
примеру, аварийный взрыв
порождает первичные
факторы поражения - ударную
волну и осколки, а ударная
волна и осколки,
воздействуя на емкость с
аварийно химически
опасными веществами (АХОВ),
ведет к выбросу АХОВ -
вторичных факторов
поражения.
Масштабы последствий
воздействия поражающих
факторов во многом зависят
от определенных свойств
устойчивости объектов, на
которые оказывается
воздействие. Среди этих
свойств следует в первую
очередь назвать стойкость
и уязвимость, защищенность,
живучесть и надежность.
Стойкость - это свойство
объекта сохранять свои
параметры в пределах
установленных допусков и
выполнять свои функции во
время и после внешних
нагрузок. В зависимости от
вида воздействия различают
и различные виды стойкости,
например, электромагнитную,
радиационную, коррозийную,
сейсмостойкость и др.
Свойством объекта,
противоположным стойкости
является уязвимость.
Уязвимость характеризует
слабость, незащищенность
объекта. Поскольку
уязвимость проявляется при
условии воздействия
нагрузки, она может быть
названа условной
уязвимостью.
Характеристикой стойкости
и условной уязвимости
является критическая
нагрузка, при которой с
одной стороны
преодолевается рубеж
стойкости, а с другой
достигается порог
уязвимости и наступает
разрушение. Таким образом,
можно утверждать, что в
момент достижения
критической нагрузки
значение стойкости
совпадает со значением
уязвимости. В таблице
приведены данные по
стойкости (уязвимости)
зданий и сооружений к
скоростному напору при
ураганах.
Таблица 1.1.5
Критические скорости ветра
при ураганах, м/с, при
которых происходит
разрушение зданий и
сооружений

Критериальные значения
стойкости вначале
устанавливаются из опыта
или умозрительно, затем
проверяются
экспериментально и на
практике, затем
закрепляются
соответствующими
официальными нормами.
Стойкость должна быть
установлена на уровне, при
котором предотвращенный
ущерб от бедствий
превышает дополнительные
затраты на ее повышение.
Согласно современным
нормативам, например на
сейсмостойкое
строительство, оно
удорожает стоимость
строительства городских
зданий, рассчитанных на
устойчивость при
землетрясениях в 7, 8, 9
баллов на 2-4, 4-8 и 10-15 %
соответственно.
Еще одно свойство объектов
опасности - их защищенность.
Под защищенностью обычно
понимают способность
объекта противостоять
поражающим воздействиям,
ослабляя их интенсивность.
Она обычно характеризуется
коэффициентом ослабления
внешних воздействий. Более
широкий взгляд на это
свойство объектов
закреплено в представлении
о защищенности в
чрезвычайных ситуациях,
которое трактуется как
состояние, при котором
предотвращают,
преодолевают или предельно
снижают негативные
последствия возникновения
потенциальных опасностей в
чрезвычайных ситуациях для
населения, объектов
народного хозяйства и
окружающей природной среды
(ГОСТ Р 22.0.02-94).
Еще одним свойством
объектов, на которые
возможны воздействия при
бедствиях, является их
живучесть. Она
характеризует способность
объекта сохранять свою
работоспособность в
условиях внешних
воздействий, выходящих за
пределы нормальных условий
эксплуатации или
жизнедеятельности.
И, наконец, надежность
определяется как
внутреннее свойство
объекта, характеризующее
его способность к
функционированию в
условиях действия
внутренних
дестабилизирующих
факторов и внешних
факторов, не характерных
для нормальных условий
работы и существования.
В результате поражающих
воздействий источника
чрезвычайной ситуации, с
одной стороны,
специфических свойств
устойчивости поражаемых
объектов, с другой, а также
благодаря влиянию ряда
прочих обстоятельств,
складываются те или иные
последствия чрезвычайной
ситуации.
Последствиями
чрезвычайных ситуаций
называют совокупность
различного рода ущербов,
наносимых природной среде
и разным сферам
жизнедеятельности
первичными и вторичными
поражающими и другими
факторами этих ситуаций, а
также возникшие новые
черты сложившейся
обстановки,
характеризующие
изменившиеся условия,
возможности, отношения,
связи и т.д.
Одной из основных
характеристик любой
возникающей чрезвычайной
ситуации, характеризующей
ее последствия, является ее
масштаб, который
определяется, прежде всего,
размерами зоны
чрезвычайной ситуации. Как
правило, при определении
масштаба учитывается также
тяжесть последствий,
основными составными
частями которых являются
потери и ущерб.
Потери - это выход из
строя людей ввиду их гибели,
ранений, травм, болезней.
Гибель людей называют
безвозвратными, а выход из
строя из-за ранений и
болезней - санитарными
потерями.
Ущерб отражает
материальный и финансовый
урон, нанесенный в процессе
чрезвычайной ситуации. Он
бывает прямой и косвенный.
Прямой ущерб обусловлен
поражающими воздействиями,
приводящими к разрушениям,
повреждениям, выходу из
строя объектов
хозяйственного и
социального назначения,
утраты имущества,
нанесению вреда природной
среде, природным ресурсам.
Косвенный ущерб возникает
из-за остановки
хозяйственной
деятельности, упущенной
выгоды, необходимости
затрат на ликвидацию
чрезвычайной ситуации и ее
долговременных
последствий.
Иногда, несмотря на малые
размеры зоны чрезвычайной
ситуации, тяжесть ее
последствий может быть
весьма значительной и
трагичной.
Оценка масштаба
чрезвычайной ситуации
включает в себя и учет
возможных косвенных
последствий. Они могут
представлять собой
нарушения организационных,
социальных, экономических,
политических, этнических,
культурных и других важных
связей, действующих порой
на расстояниях,
значительно превосходящих
размеры зоны чрезвычайной
ситуации.
В свою очередь, масштаб
чрезвычайной ситуации
предопределяет состав сил
и средств, количество
привлеченных ресурсов,
позволяющих осуществить
ликвидацию чрезвычайной
ситуации.
Градации масштаба
чрезвычайных ситуаций
природного и техногенного
характера установлены
постановлением
Правительства Российской
Федерации "О
классификации
чрезвычайных ситуаций
природного и техногенного
характера" (от 13 сентября
1996 г. № 1094).
В соответствии с этим
постановлением,
чрезвычайные ситуации
классифицируются в
зависимости от количества
людей, пострадавших в этих
ситуациях, людей, у которых
оказались нарушены условия
жизнедеятельности, размера
материального ущерба, а
также границ зон
распространения
поражающих факторов
чрезвычайных ситуаций.
Чрезвычайные ситуации
подразделяются на:
локальные, местные,
территориальные,
региональные, федеральные
и трансграничные.
Высокая опасность
возникновения
чрезвычайных ситуаций, их
огромные отрицательные
социально-политические
последствия у нас в стране
и за рубежом требует
постоянного
противодействия этим
угрозам со стороны
государственных и
общественных институтов.
Как мы уже говорили,
наличие возможных
опасностей во все времена
требовало от человека
заботиться о своей
безопасности. С течением
времени организация
обеспечения безопасности
осложнялась и стала
охватывать не только
индивидуумов и их низовые
сообщества, как, например,
семья и трудовой коллектив,
но и более высокие
структуры, в том числе на
государственном и мировом
уровнях. В настоящее время
говорят о безопасности
личности, общества,
государства, мирового
сообщества. Это трактуется
как личная, общественная,
национальная,
международная
безопасность.
Безопасность, с точки
зрения традиционного
представления о ней в
русском языке, - это такое
положение (состояние), при
котором не угрожает
опасность. Часто
безопасность трактуют как
состояние защищенности от
опасности, что, в общем,
соответствует основному
определению.
Первой базовой категорией
безопасности является ее
объект, т.е. то, на что
направлены усилия по
обеспечению безопасности и
что лежит в основе
исследования и
совершенствования
безопасности. Исходя из
Концепции национальной
безопасности Российской
Федерации, объектами
безопасности являются
личность, общество и
государство. Если
учитывать интересы земной
цивилизации в целом, то
объектом безопасности
можно считать и мировое
сообщество в целом.
Субъектами безопасности
являются организации и
люди, осуществляющие
деятельность по
обеспечению безопасности
на профессиональной или
непрофессиональной основе.
В качестве субъектов
безопасности выступают
государственные системы,
органы безопасности,
специалисты в области
безопасности, коммерческие
и общественные структуры,
занимающиеся данной
деятельностью, любые
граждане, пекущиеся о
личной безопасности.
Содержание деятельности по
обеспечению безопасности,
в том числе не только
непосредственной
практической работы в этой
области, но и разработки
теории вопроса, научных
исследований составляют
предмет безопасности.
Цели обеспечения
безопасности сложны. Во-первых,
это превентивное снижение
уровня вызовов и угроз. Во-вторых,
в случае, когда угрозы
реализуются в виде
чрезвычайных событий и
возникших как их следствие
чрезвычайных ситуаций - это
защита для снижения потерь
и ущерба природных
объектов, людей и
материальных ценностей от
поражающих (возмущающих)
факторов, ликвидация
возникших негативных
последствий и чрезвычайных
ситуаций в целом. В
обобщенном виде цель
обеспечения безопасности
может быть сформулирована
как стремление обеспечить
устойчивость, стабильность,
живучесть объектов
безопасности, сохранить
возможность
удовлетворения их
потребностей, в том числе
жизненно важных, соблюсти
их интересы.
Способы достижения
безопасности многообразны.
Они специфичны для каждого
вида угроз, характерны для
каждого объекта и субъекта
безопасности,
соответствуют природе
поражающих (возмущающих)
воздействий и обусловлены
множеством других
обстоятельств.
В Российской Федерации для
обеспечения безопасности в
природной и техногенной
сферах создана и
функционирует единая
государственная система
предупреждения и
ликвидации чрезвычайных
ситуаций (РСЧС). Она
представляет собой
объединение органов
управления, сил и средств
федеральных органов
исполнительной власти,
органов исполнительной
власти субъектов
Российской Федерации,
органов местного
самоуправления и
организаций, в полномочия
которых входит решение
вопросов по защите
населения и территорий (акваторий)
от чрезвычайных ситуаций (ГОСТ
Р 22.0.02-94).
В процессе достижения этих
целей в рамках РСЧС
преимущественно и
осуществляется напрямую
или косвенно управление
природными и техногенными
рисками, обеспечивается
природная и техногенная
безопасность.
Управление риском - это
основанная на оценке риска
целенаправленная
деятельность по реализации
наилучшего из возможных
способов уменьшения рисков
до уровня, который общество
считает приемлемым, при
заданных ограничениях на
ресурсы и время.
Эта деятельность
основывается на системном
подходе для принятия
решений, выработки
процедур и осуществления
практических мер в целях
предупреждения
чрезвычайных ситуаций,
уменьшения их масштабов и
проведения защитных мер в
ходе ликвидации их
последствий.
В общем случае управление
риском включает разработку
и обоснование оптимальных
программ деятельности,
призванных эффективно
реализовать решения в
области обеспечения
безопасности. Главный
элемент этих усилий -
процесс оптимального
распределения
ограниченных ресурсов,
расходуемых для снижения
различных видов риска с
целью достижения такого
уровня безопасности
населения, социальных,
политических и
хозяйственных институтов,
окружающей природной среды,
какой только достижим в
существующих реальных
экономических и иных
условиях. В целом, когда
имеется в виду выработка и
реализация комплекса
разнообразных мер по
управлению совокупности
взаимосвязанных рисков,
можно говорить об
управлении безопасностью в
той или иной области.
Управление безопасностью
при угрозе и в случае
возникновения
чрезвычайных ситуаций
является широким понятием,
включающим не только меры
по предотвращению
возникновения
чрезвычайных ситуаций и
уменьшению их последствий,
но и мероприятия по
подготовке к отражению
реализовавшихся угроз.
Управление риском
базируется на комплексном
подходе, когда учитывается
максимально возможное
число значимых компонентов
и их взаимосвязей. Этот
учет возможен за счет
системного анализа.
Поэтому принятию
управленческих решений
должен всегда
предшествовать системный
анализ, представляющий
собой совокупность методов
и средств исследований
сложных, многоуровневых и
многокомпонентных систем,
объектов, процессов. Он
опирается на комплексный
подход, учет взаимосвязей и
взаимодействий между
элементами системы. Еще раз
подчеркнем, что системный
анализ играет важную роль
при выработке и принятии
управленческих решений,
фактически является
составной частью
управленческой
деятельности.
При управлении риском,
управлении безопасностью
процесс управления
начинается со сбора данных
и анализа риска.
Анализ риска (или риск-анализ)
является процессом
идентификации опасностей и
оценки риска для отдельных
лиц, групп населения,
различного рода социальных,
политических,
хозяйственных структур,
элементов окружающей
природной среды и других
объектов.
Анализ риска может быть
также определен как
процесс решения сложной
задачи, требующей
рассмотрения широкого
круга вопросов и
проведения комплексного
исследования и оценки
технических, экономических,
управленческих, социальных,
а в ряде случаев и
политических факторов.
Анализ риска имеет ряд
универсальных для всех
вариантов особенностей:
общей задачей анализа
является определение
допустимого уровня риска,
стандартов безопасности
различных объектов;
определение допустимого
уровня риска происходит
обычно в условиях
недостатка или низкой
достоверности исходной
информации;
в ходе анализа в
значительной мере решаются
вероятностные задачи, что
чревато существенными
расхождениями в получаемых
результатах;
поскольку в процессе
анализа риска решаются
многокритериальные задачи,
необходим компромисс между
сторонами, формирующими
исходные данные и
использующими результаты
анализа.
Следующий, самый важный
этап анализа риска -
идентификация опасностей.
Основная задача - выявление
и четкое описание всех
присущих системе
опасностей. Это
ответственный этап анализа,
так как невыявленные на
этом этапе опасности не
подвергаются дальнейшему
рассмотрению и исчезают из
поля зрения. На этом этапе
кроме выявления опасностей
проводится их
предварительная оценка с
целью выбора дальнейшего
направления деятельности.
Здесь возможно:
прекратить дальнейший
анализ ввиду
незначительности
опасностей;
провести более детальный
анализ риска;
выработать рекомендации по
уменьшению опасностей.
В принципе весь процесс
риск-анализа может
закончиться уже на этапе
идентификации опасностей.
Если анализ не завершается
вторым этапом, после
идентификации опасностей
переходят к этапу оценки
риска.
Оценка риска - процесс,
используемый для
определения величины (меры)
риска анализируемой
опасности для здоровья
человека, материальных
ценностей, окружающей
природной среды и других
объектов, связанных, с
реализацией опасности.
Оценка риска - обязательная
часть анализа. Оценка риска
включает анализ частоты,
анализ последствий и их
сочетаний.
На этом этапе
идентифицированные
опасности должны быть
оценены на основе
критериев приемлемого
риска с целью выделения
опасности с неприемлемым
уровнем риска. Эта работа
служит основой для
разработки рекомендаций и
мер по уменьшению
опасностей. При этом и
критерии приемлемого риска,
и результаты оценки риска
могут быть выражены как
качественно, так и
количественно.
Существуют четыре разных
подхода к оценке риска:
расчетные - инженерный и
модельный, и качественные -
экспертный и опросный
социологический.
Наконец, последний этап
анализа риска - разработка
рекомендаций по уменьшению
его уровня, в случае, если
степень риска выше
приемлемой.
Множественность
результатов анализа и
возможность компромиссных
решений дают основание
считать, что анализ риска
не является строго
детерминированным
процессом, поддающимся
проверке объективными,
научными методами.
Более предметно рассмотрим
риски чрезвычайных
ситуаций на примерах
природного и техногенного
рисков.
|